Главная
»
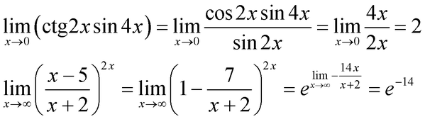
Вычислите предел функции lim x
Вычислите предел функции lim x. Вычислите предел функции lim x
« Предыдущее
27 / 53
Следующее »