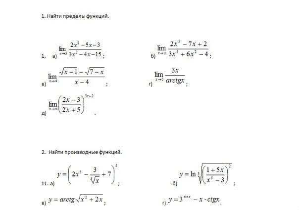
Вычислите предел функции lim x