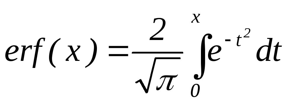
Значения функции ошибок