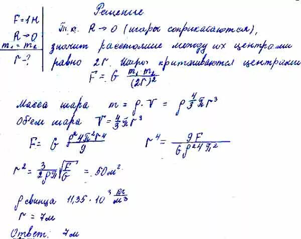
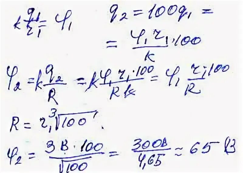
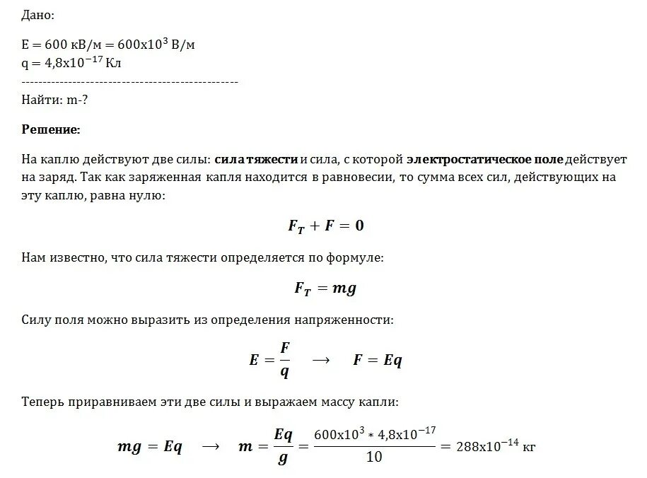
Заряд капли ртути