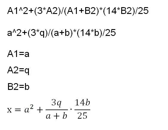
Записать в традиционной математической форме формулы