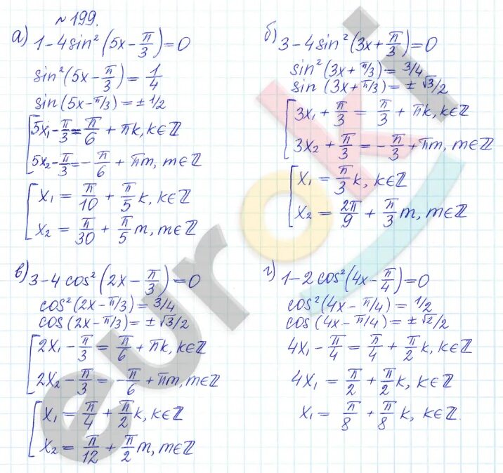
Задачник левкин 10