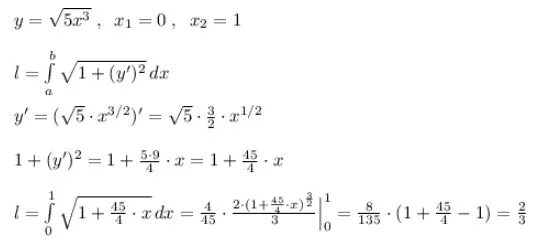
Y sqrt 5x