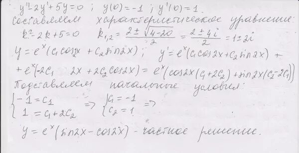
Y 4y 8 0