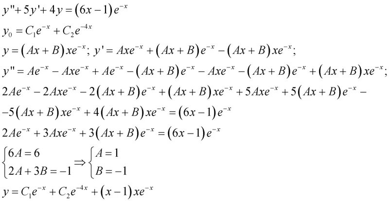
Y 4 x 1 2 16