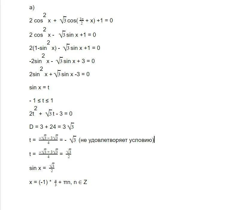
X2 корень 3x 1 0