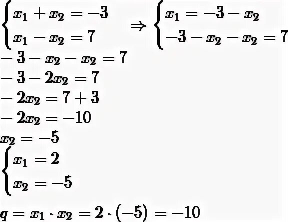
X2 7x q 0 найти q