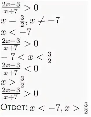
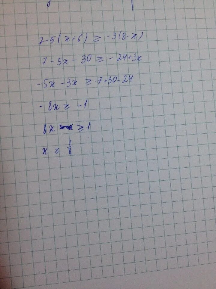
X 7 x 7 ответ