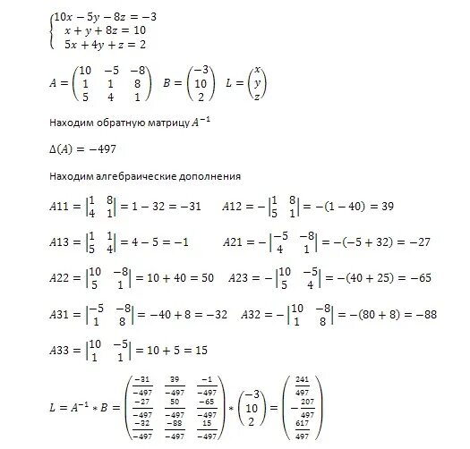
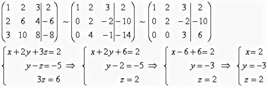
X 2y 4z 3