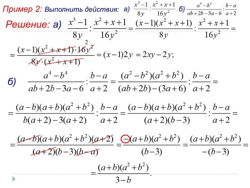
Выражение дробь со степенями