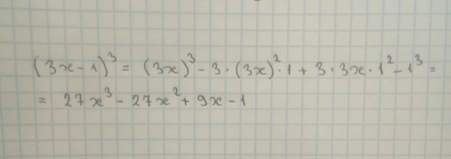
Выражение 3x 5