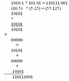
Выполните операцию сложения двоичными числами 101010 1101