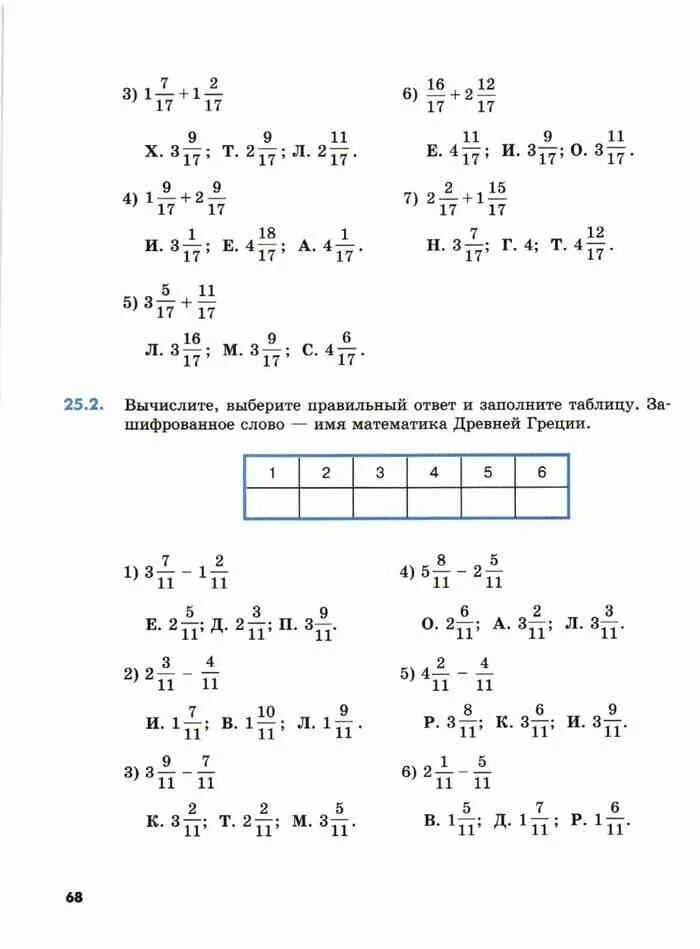
Вычислите выберите верный ответ