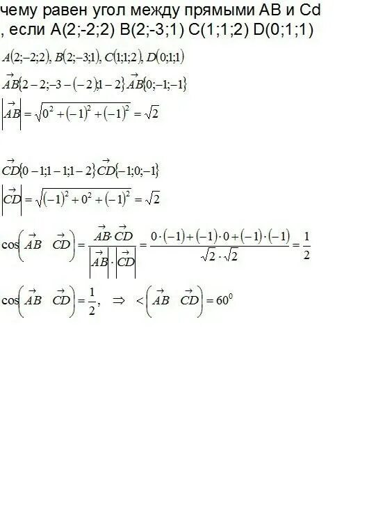
Вычислите угол между прямыми ab и cd