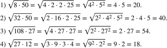
Вычислите среднее геометрическое чисел 12 18 27