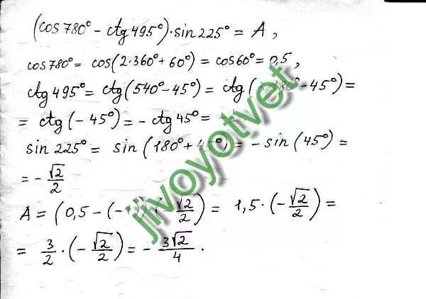
Вычислите с помощью формул приведения cos