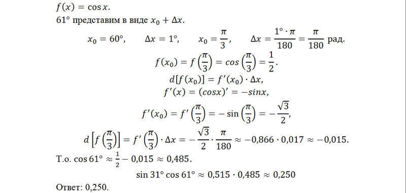
Вычислите приближенное значение выражения