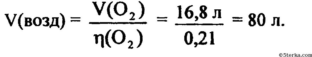
Вычислите объем воздуха примите