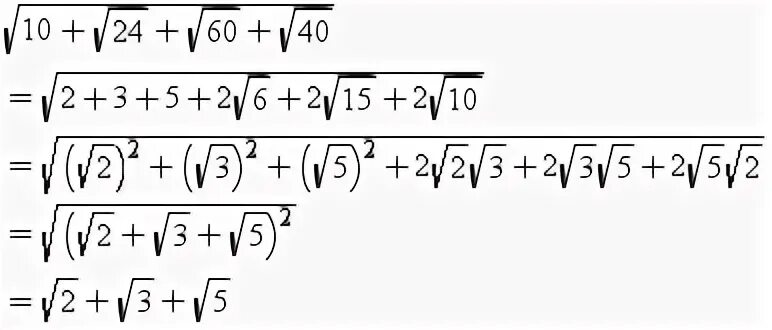
Вычислите модуль 8