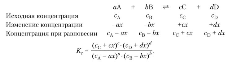
Вычислите исходную концентрацию и константу равновесия