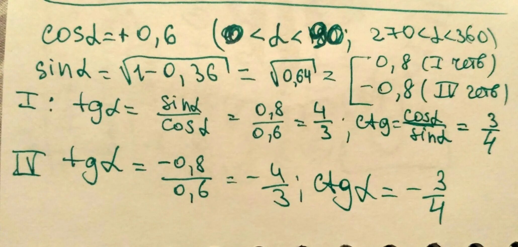
Вычислите ctg a если tg a