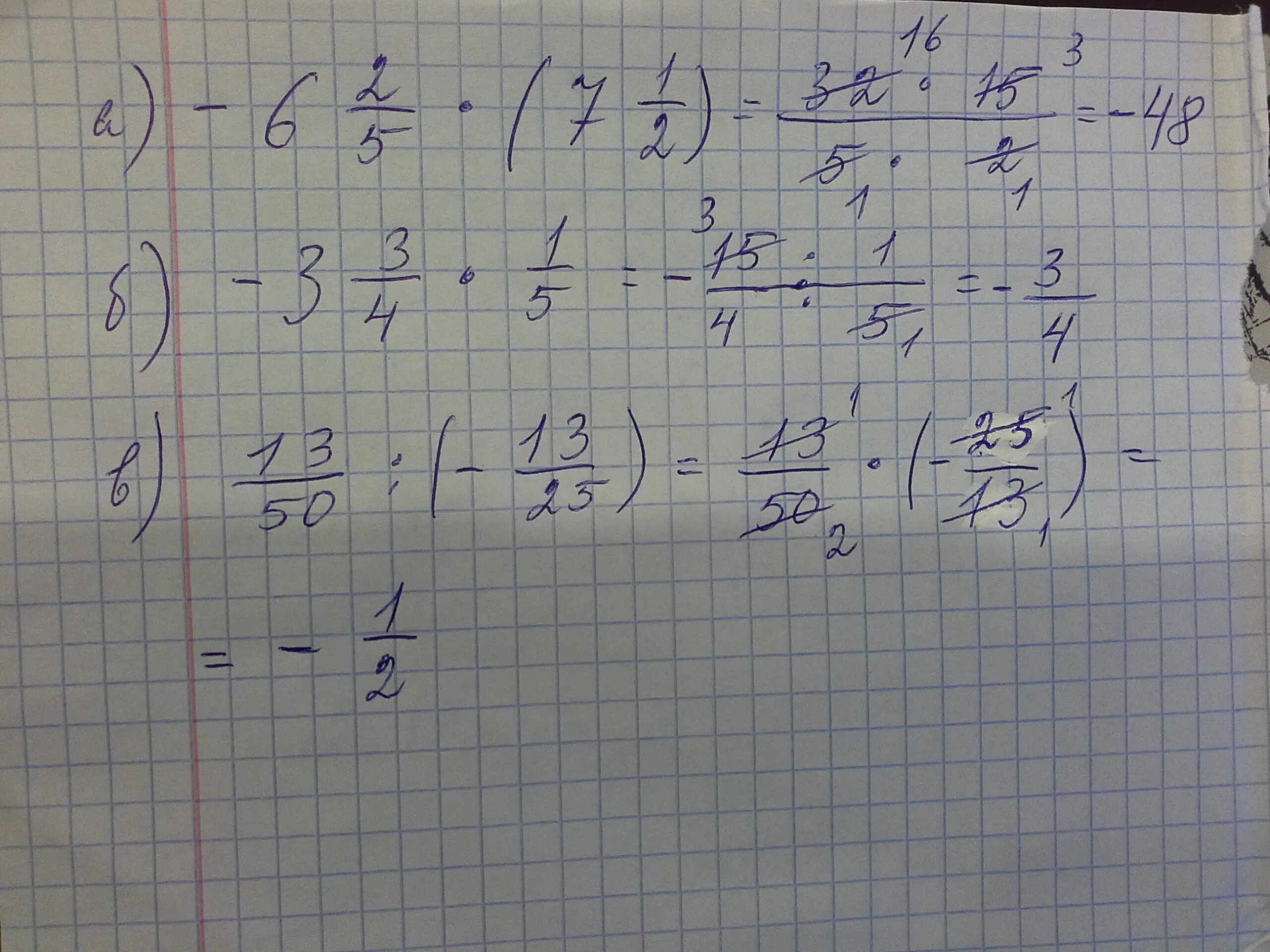
Вычислите 6 2 3 7