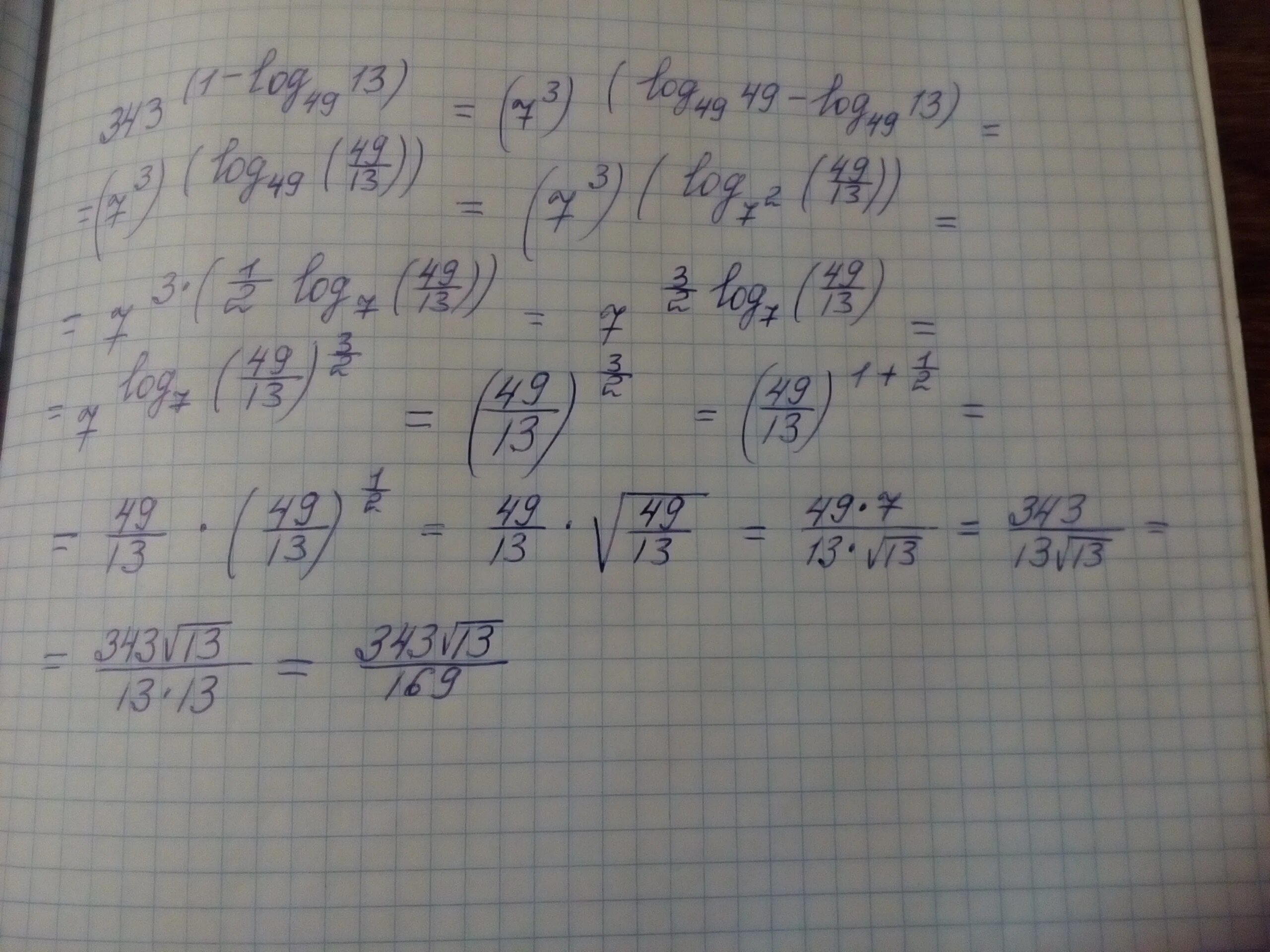
Вычислите 49 4 7 5