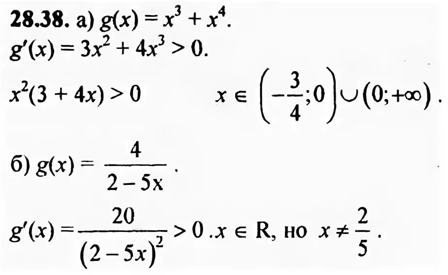
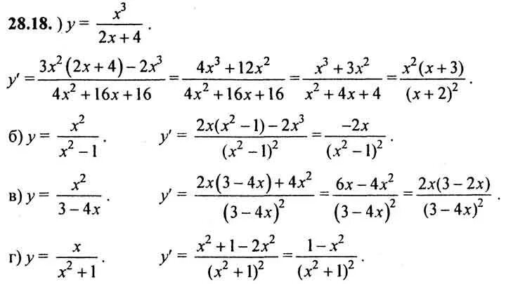
Вычислите 28 18 3