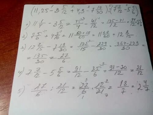
Вычислите 11 4