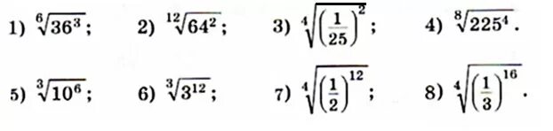
Вычислите 1 в n степени