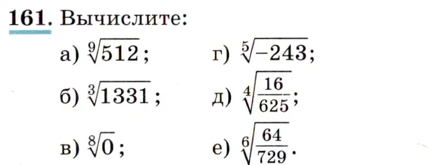
Вычислите 1 в 9 степени