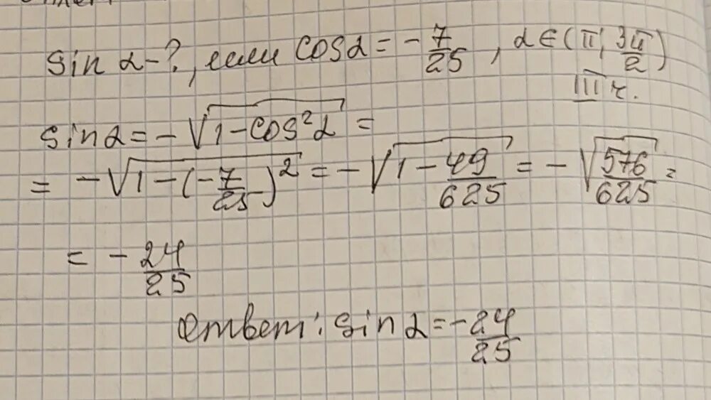
Вычислить синус п 2