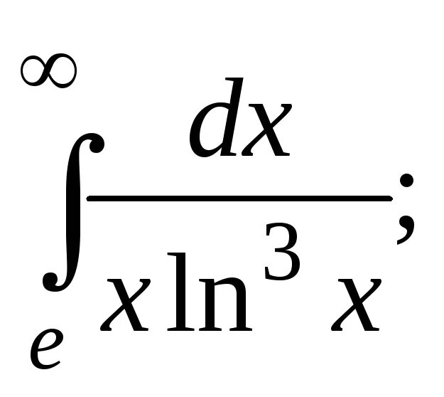
Вычислить расходимость интеграла