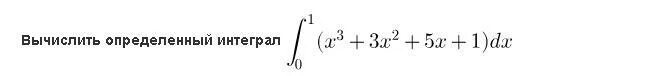
Вычислить определенный интеграл с точностью до