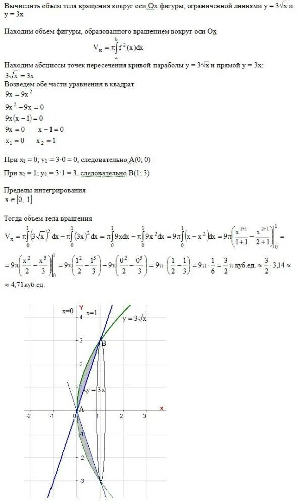
Вычислить объем фигуры вращения ограниченную линиями