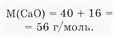
Вычислить молекулярную массу mgco3