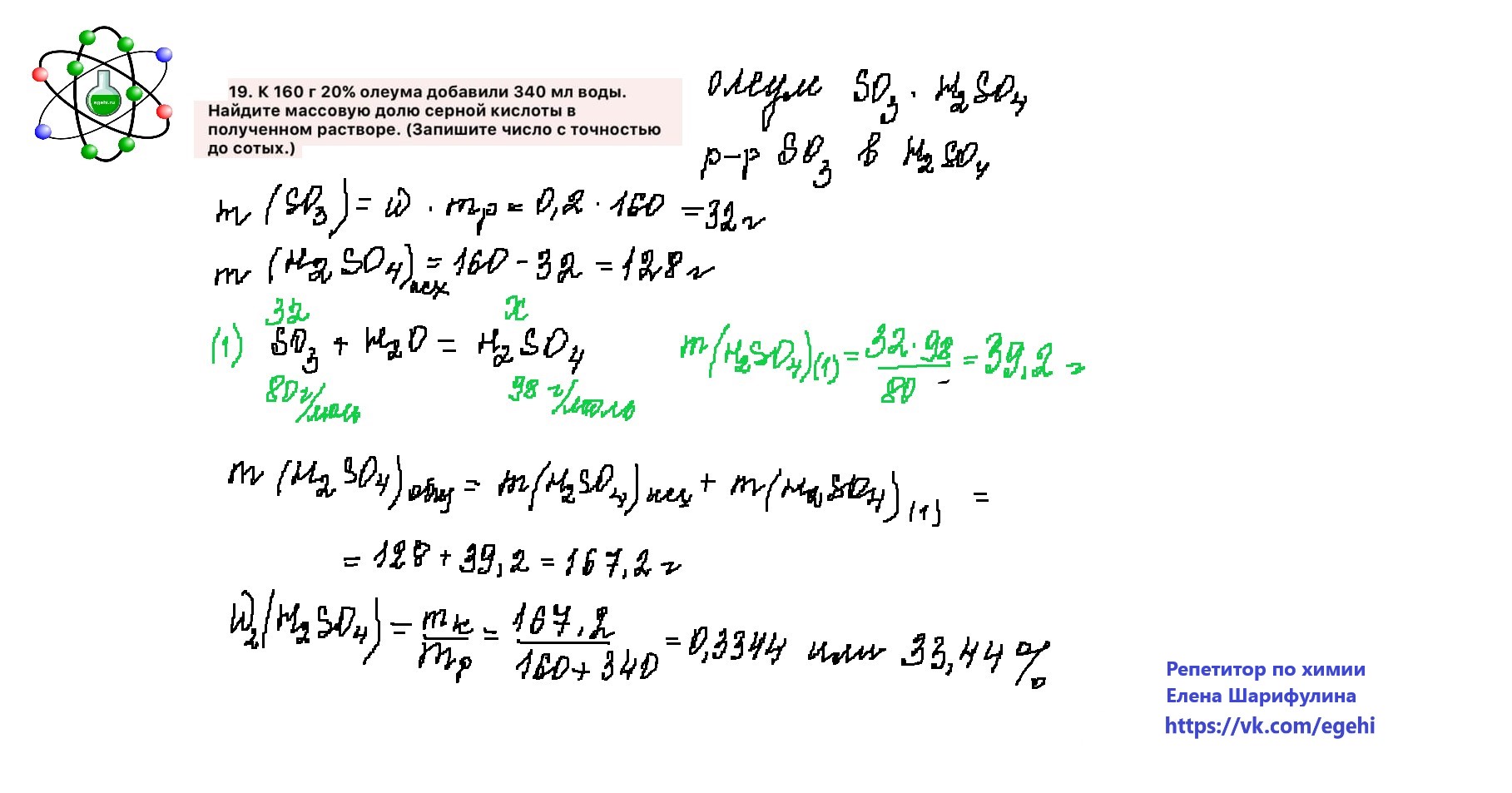
Вычислить массовую долю серной кислоты