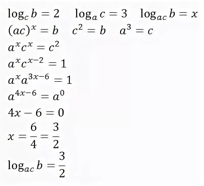
Вычислить log 2 32