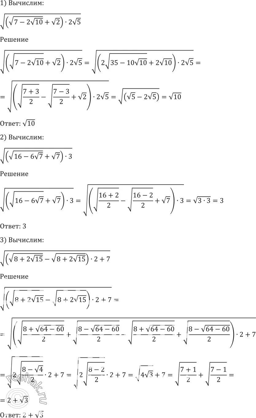
Вычислить корень из 26