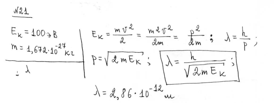
Вычислить длину волны де бройля протона