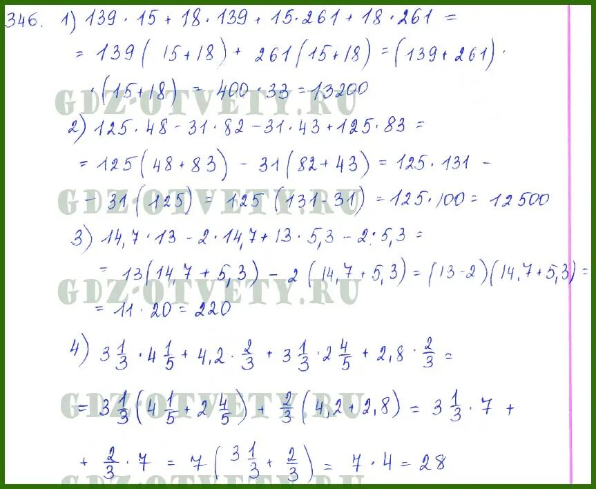
Вычислить 346