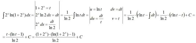
Вычислить 2 1 1 3x dx