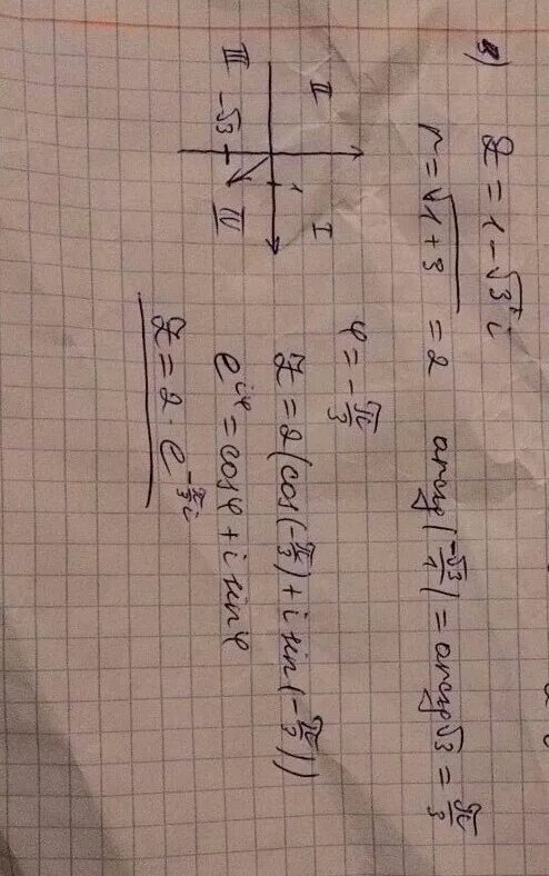
Вычислить 1 i 3 2