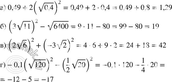
Вычислить 1 0 2 4900