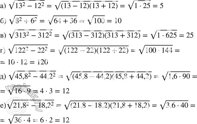
Вычисли значение корня 13 1