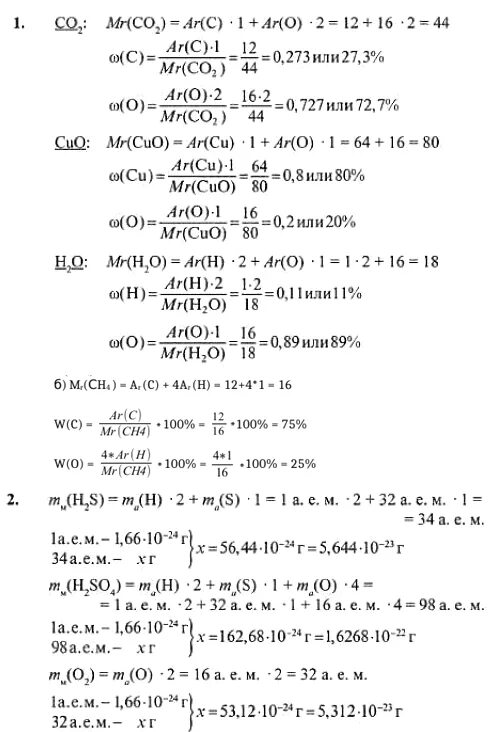
Вычисли относительную молекулярную массу кальция