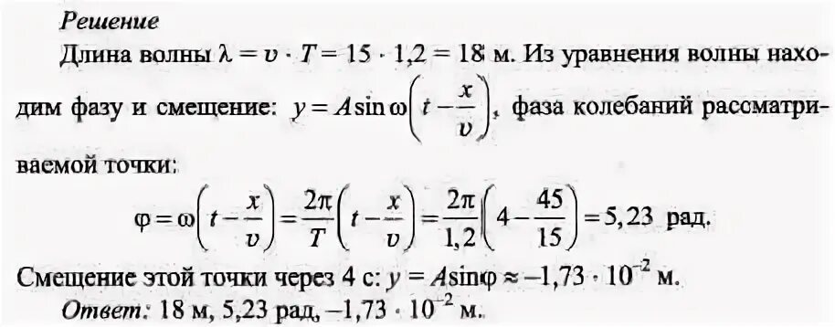
Волна распространяется вдоль