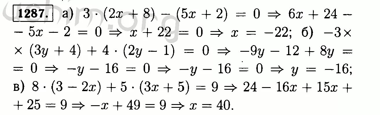
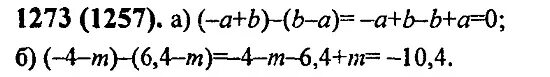
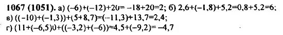
Виленкин 6 класс номер 1227