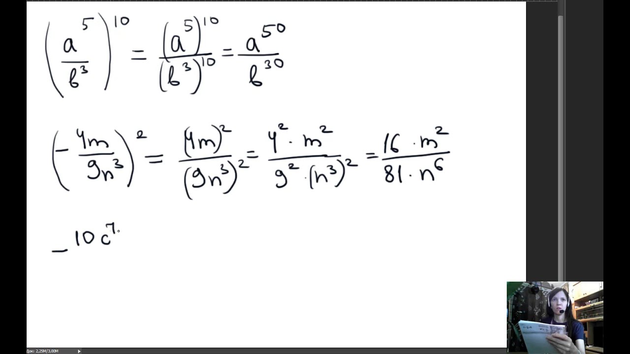
Видеоурок возведение дроби в степень