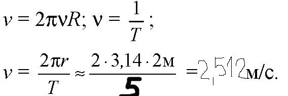
V2 r формула